分式不等式的解法:
分母恒为正时可去分母;分母不恒为正时不能去分母,应先移项使右边为0再通分并将分子分母分解因式,最后用标根法求解。解分式不等式的主旨是化分式不等式为整式不等式,进行求解,即

版权声明
声明:有的资源均来自网络转载,版权归原作者所有,如有侵犯到您的权益
请联系本站我们将配合处理!
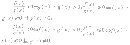
分式不等式的解法:
分母恒为正时可去分母;分母不恒为正时不能去分母,应先移项使右边为0再通分并将分子分母分解因式,最后用标根法求解。解分式不等式的主旨是化分式不等式为整式不等式,进行求解,即

声明:有的资源均来自网络转载,版权归原作者所有,如有侵犯到您的权益
请联系本站我们将配合处理!