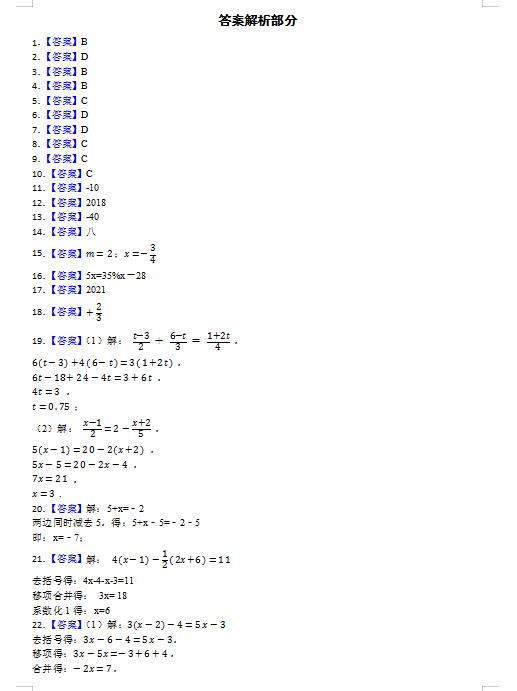
2022年初中数学专题练习:一元一次方程二答案(下载版)

| 请下载附件: |
| 《2022年初中数学专题练习:一元一次方程二答案(下载版)》 |
( 本地下载 在线阅读) |
版权声明
声明:有的资源均来自网络转载,版权归原作者所有,如有侵犯到您的权益
请联系本站我们将配合处理!
上一篇 : 9点是什么时辰 古代十二时辰
下一篇 :潮平两岸阔风正一帆悬全诗意思
2022年初中数学专题练习:一元一次方程二答案(下载版)

| 请下载附件: |
| 《2022年初中数学专题练习:一元一次方程二答案(下载版)》 |
( 本地下载 在线阅读) |
声明:有的资源均来自网络转载,版权归原作者所有,如有侵犯到您的权益
请联系本站我们将配合处理!