电功
定义:电流所做的功叫电功。电功的符号是W
单位:焦耳(焦,J)。电功的常用单位是度,即千瓦时(kW·h)。1kW·h=3.6×106J(第二个6为次方)
电流做功的过程,实际上就是电能转化为其他形式能的过程。

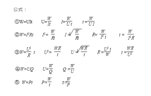
公式中的物理量:
W——电能——焦耳(J)
U——电压——伏特(V)
I——电流——安培(A)
t——时间——秒(s)
R——电阻——欧姆(Ω)
Q——电荷量——库伦(C)
P——功率——瓦特(W)
版权声明
声明:有的资源均来自网络转载,版权归原作者所有,如有侵犯到您的权益
请联系本站我们将配合处理!
上一篇 : 2023年初中物理电功率五大方法计算汇总
下一篇 :2023初中物理电功率专题公式:电能表
