
基础知识点
1、分式:
(1)分式的定义:如果A、B表示两个整式,并且B中含有字母,那么式子A/B叫做分式。
(2)分式是否有意义的条件:分式的分母是否等于0,有意义则分母不为0,无意义则分母为0。
(3)分式值为零的条件:分式A/B=0的条件是A=0,且B≠0。
注意:求出使分子为0的字母的值,一定要注意检验这个字母的值是否使分母的值为0,一般当分母的值不为0时,就是所要求的字母的值。
(4)分式的基本性质:分式的分子与分母同乘(或除以)一个不等于0的整式,分式的值不变。
(5)分式的通分:利用分式的基本性质,使分子和分母同乘适当的整式,不改变分式的值,把几个异分母分式化成相同分母的分式,这样的分式变形叫做分式的通分。
注意:通分的关键是确定几个式子的最简公分母。几个分式通分时,通常取各分母所有因式的最高次幂的积作为公分母,这样的分母就叫做最简公分母。求最简公分母时应注意以下几点:
● “各分母所有因式的最高次幂”是指凡出现的字母(或含字母的式子)为底数的幂选取指数最大的;
● 如果各分母的系数都是整数时,取它们系数的最小公倍数作为最简公分母的系数;
● 如果分母是多项式,一般应先分解因式。
(6)分式的约分:根据分式的基本性质,约去分式的分子和分母中的公因式,不改变分式的值,这样的分式变形叫做分式的约分。
约分后分式的分子、分母中不再含有公因式,这样的分式叫最简公因式。
注意:约分的关键是找出分式中分子和分母的公因式
◆(1)约分时注意分式的分子、分母都是乘积形式才能进行约分;分子、分母是多项式时,通常将分子、分母分解因式,然后再约分;
◆(2)找公因式的方法:
① 当分子、分母都是单项式时,先找分子、分母系数的最大公约数,再找相同字母的最低次幂,它们的积就是公因式;
②当分子、分母都是多项式时,先把多项式因式分解。
2、分式方程
(1)分式方程的概念
◆ a、分式方程的重要特征:
①是等式;
②方程里含有分母;
③分母中含有未知数.
◆ b、分式方程和整式方程的区别:在于分母中是否有未知数。
(2)分式方程的解法
解分式方程的一般步骤:
a、方程两边都乘以最简公分母,去掉分母,化成整式方程(注意:当分母是多项式时,先分解因式,再找出最简公分母);
b、解整式方程,求出整式方程的解;
c、检验:将求得的解代入最简公分母,若最简公分母不等于0,则这个解是原分式方程的解,若最简公分母等于0,则这个解不是原分式方程的解,原分式方程无解。
注意:解分式方程一定要检验根,这种检验与整式方程不同,不是检查解方程过程中是否有错误,而是检验是否出现增根,它是在解方程的过程中没有错误的前提下进行的。
运算知识点
分式的四则运算
◆乘法法则:分式乘分式,用分子的积作为积的分子,分母的积作为积的分母。
◆除法法则:分式除以分式,把除式的分子、分母颠倒位置后,与被除式相乘。
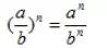
◆乘方法则:分式乘方要把分子、分母各自乘方。用式子表示是:(其中n是正整数)
![]()
◆加减法则:同分母的分式相加减,分母不变,把分子相加减;异分母的分式相加减,先通分,转化为同分母分式,然后再加减。
注意
(1)异分母分式相加减,“先通分”是关键,最简公分母确定后再通分,计算时要注意分式中符号的处理,特别是分子相减,要注意分子的整体性;
(2)运算时顺序合理、步骤清晰;
(3)运算结果必须化成最简分式或整式。
应用知识点
涉及有关分式的知识点,主要是对分式的基本概念和分式方程的考察,易出错的几个问题是:分子不添加括号;漏乘整数项;约去相同因式导致漏根;忘记检验根。
类型一、判别分式方程

【解析】要判断一个方程是否为分式方程,就看其有无分母,并且分母中是否含有未知数。A、C两项中的方程尽管有分母,但分母都是常数;D项中的方程尽管含有分母,但分母中不含未知数,由定义知这三个方程都不是分式方程,只有B项中的方程符合分式方程的定义,故选B。
类型二、解分式方程

【解析】将分式方程化为整式方程时,乘最简公分母时应乘原分式方程的每一项,不要漏乘常数项。特别提醒:解分式方程时,一定要检验方程的根。
【答案】

类型三、分式方程的增根

【解析】处理这类问题时,通常先将分式方程转化为整式方程,再将求出的增根代入整式方程,即可求解。
【答案】

类型四、分式方程的应用

【解析】有关列分式方程解应用题按下列步骤进行:
(1)审题了解已知数与所求各量所表示的意义,弄清它们之间的数量关系;
(2)设未知数;
(3)找出能够表示题中全部含义的相等关系,列出分式方程;
(4)解这个分式方程;
(5)验根,检验是否是增根;
(6)写出答案。
【答案】

版权声明
声明:有的资源均来自网络转载,版权归原作者所有,如有侵犯到您的权益
请联系本站我们将配合处理!
