我们今天要秒答的是一道含参二元一次方程组问题,题目如下:
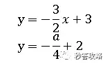
已知a≠6,若方程组

的解x、y为正数,求a的范围。
[思路分析]
这是一个典型的含参二元一次方程的解的问题,根据常规思路,先解方程,得到含有参数a的方程的解,然后另对应的x、y大于零,求解a的范围即可。
[解答]

以上常规解法属于代数法,也不算太复杂,初二阶段的同学要逐步适应代数式的计算,包括等式和不等式。当然,对于含参不等式,还要注意符号,考虑变号的问题。有时候稍微繁琐一点,须注意不要出错。对于本题,采用图形解法要方便快捷不少。
教材上说:“一般地,以一个二元一次方程的解为坐标的点组成的图像,与相应的一次函数的图像相同,是一条直线”,教材上还说:“一般地,从图形的角度看,...解一个二元一次方程组相当于确定相应的两条直线交点的坐标”。
据此,有以下图形解法,请看解析。
[解析]
1. 由题意,方程组的解为正数,从图形角度看,就是相应的两条直线的交点坐标在第一象限内。因此我们先把原方程组做个变换,得到两个标准的一次函数的解析式形式:

可见,这两条直线的截距都是固定的,其中一条直线为定直线,另一条直线的斜率随参数a变化。
2. 易得,定直线与x、y轴的交点分别为(2,0),(0,3),动直线与y轴的交点位(0,2),画出两条直线,如下图:
3. 观察图像可以看出,根据参数a不同,动直线绕点(0,2)旋转。当两直线交于点(2,0),动直线斜率为-1,如图中红线所示。若动直线逆时针旋转,斜率增加,交点就一定在第一象限,否则交点在二或四象限,故有:
当原方程组的解x、y为正数时,动直线斜率大于-1,即−a4>−1
可得a<4
提示1:理解函数图像与方程式的关系非常重要,特别是初二年级刚接触到函数的概念,这个概念不容易建立起来,需要多加练习。
提示2:本题图像解法需要深入理解并熟练应用一次函数斜率与截距的几何意义。
版权声明
声明:有的资源均来自网络转载,版权归原作者所有,如有侵犯到您的权益
请联系本站我们将配合处理!
