因式分解技巧
代数中所有的问题归根到底就是两个问题:降次与消元。因式分解就是“降次”最重要的工具,没有之一。因此,因式分解的技巧是很丰富的,也充满竞技性和趣味性的。

因式分解的基本技巧主要有三个:提取公因式、公式法、十(双)字相乘法;高阶技巧主要有三个:因式定理法、待定系数法、轮换对称法。这两类技巧主要分别用于处理二次多项式的分解和高次多项式(三次及以上)的分解。
进阶技巧主要有三个:分组分解(添拆项)、换元法、主元法,这三个技巧的技巧性很强,并且一般不能直接分解因式,而是用于辅助前两类分解技巧进行因式分解。
技巧1:提取公因式法
如果一个多项式的各项有公因式,可以把这个公因式提出来,从而将多项式化成两个因式乘积的形式,这种分解因式的方法叫做提公因式法。

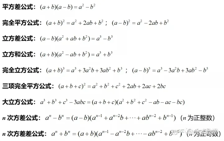
技巧2:公式法

版权声明
声明:有的资源均来自网络转载,版权归原作者所有,如有侵犯到您的权益
请联系本站我们将配合处理!
