
【评注】以上方法称为“常值代换法”。当已知条件改为a+4b=m(m是正数)时,
相应地,[(1/a)+(4/b)]m/m=[(1/a)+(4/b)](a+4b)/m,即可用此法。

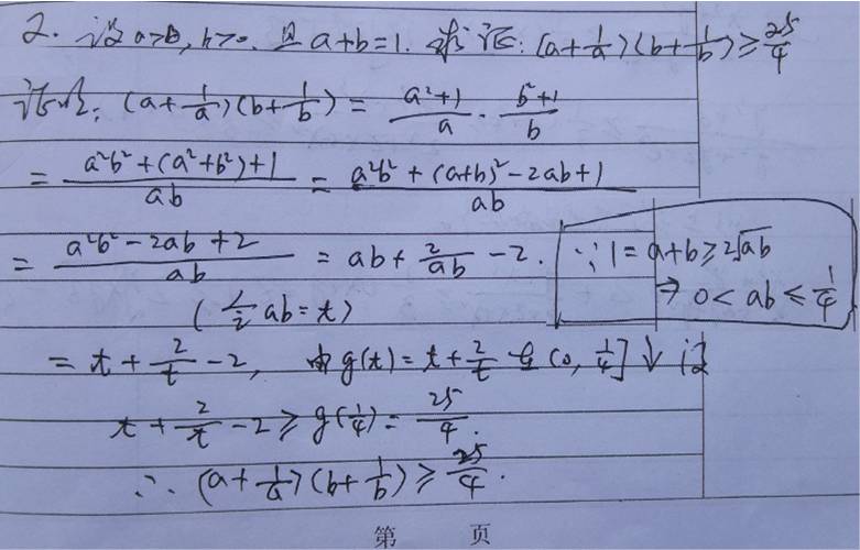
【评注】在不等式的证明中,有时有适当地换元,转化为双勾函数f(x)=x+(a/x)(a>0)在给定区间上的最大最小值问题。本题正是这样的方法。

【评注】这个不等式的形式非常优美:左边三项正好分别是右边三项的倒数,我们利用二次函数的思想巧妙地证明了这个不等式。

【评注】同样地,我们发现,这个不等式的形式非常优美:把字母a,b,c任意对换,题目不变!这种情况,我们称为:不等式具有“轮换对称性”,我们利用公式“三个正数的算术平均数不小于它们的几何平均数”巧妙地证明了这个不等式。




版权声明
声明:有的资源均来自网络转载,版权归原作者所有,如有侵犯到您的权益
请联系本站我们将配合处理!
