模块一 幂的运算
密的运算主要掌握以下四条非常重要的运算性质,包括同底数幂的乘法,幂的乘方积的乘方,同底数幂的除法和零指数幂。这些幂的运算性质只要记住了其规律和运算的顺序基本上操作起来都没有什么太大的困难。

夯实基础

在进行同底数幂的乘除,乘方运算的时候,一定要技术以下的运算顺序,如果一个单项式和单项式相乘,曾在幂的乘方时应先算幂的乘方,确定好每一个单项式的符号。在进行单项式和单项式的香肠,这样大家就不容易把符号弄错,以至于整个题目丢分。
当然这也是很多同学容易出错的地方,错误率还比较高,很容易再进行幂的乘方运算时,当有负号出现时,容易把负号的正负弄错。所以同学们在学习的时候就一定要多加关注数字的符号,特别是进行幂的乘方运算时幂次方的奇偶性决定了单项式的正负。

能力提升


模块二 整式的乘法
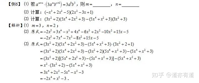
整式的乘法主要包括,单项式乘以单项式,单项式乘以多项式多项式乘以多项式。前边两个基本上问题不大,主要是第三个多项式乘以多项式。容易遗漏。所成的。
每一项,所以这个部分也是易错点频发的地方,同学们学习的时候这个地方稍作注意。他必须满足多项式的每一个项,分别与另一个多项式的每一项都要相乘,只要遗漏一项,最后的结果都是错误的。

对于单项式乘以多项式,只需要按照乘法分配把单项式乘以多项式的每一项,然后再进行相加减即可。这只需要按照以往的方法进行就可以,大多数同学这部分是不存在问题的。
但是还要提醒大家注意正负号,每一项相乘时一定要先确定符号再进行数字和字母及幂次方的计算。


当我们遇到多项式与多项式相乘或者是单项式与单项式相乘时,字母前的系数可以先进行相乘相同的字母进行相乘,这样分类不容易出错,也能提高大家的计算效率。

版权声明
声明:有的资源均来自网络转载,版权归原作者所有,如有侵犯到您的权益
请联系本站我们将配合处理!
