浮力计算题方法总结:
(1)、确定研究对象,认准要研究的物体。
(2)、分析物体受力情况画出受力示意图,判断物体在液体中所处的状态(看是否静止或做匀速直线运动)。
(3)、选择合适的方法列出等式(一般考虑平衡条件)。
计算浮力方法:
1、示重差法,就是物体在空气中的重与物体在液体中的重的差值等于浮力。
2、压力差法:应用F浮=F向上-F向下求浮力。这是浮力的最基本的原理。
3、公式法: F浮=ρ液gV排=G排液
4、受力分析法:如果物体在液体中处于漂浮或悬浮状态,则物体受重力和浮力作用,且此二力平衡,则F浮=G物。如果物体受三个力而处于平衡状态。则要分析出重力和浮力以外的第三个力的方向,当第三个力方向与重力同向时,则F浮=G物+F3,当第三个力方向与重力方向相反,则F浮=G物-F3。
5、排水量法:F浮=排水量(千克)×g
轮船的满载重量,一般是以排水量表示的,即是排开水的质量,船也是浮体,根据浮体平衡条件也得:船受到的总F浮=G总,而排水量(千克)×g,就是船排开水的重,即是浮力,又是船、货的总重力。
6、应用阿基米德原理和浮沉条件解浮力综合题
实验探究
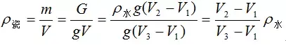
[例1] 给你足够的水,量筒一只,怎样测定小瓷酒杯的密度(酒杯的直径小于量筒的直径)请写出主要实验步骤及密度表达式。
解析:测固体密度的方法有多种,有直接的方法:用天平测质量、量筒(量杯)测体积;有间接的方法:利用物体漂浮时排开液体的重力等于物体的重力,求出物体的质量,再利用排水法测物体的体积,算出物体的密度,本题应使用间接方法测小瓷酒杯的密度。
答案:
1. 在量筒里倒入适量的水,记下水面到达的刻度V1
2. 把小酒杯漂浮在水面上,记下水面到达的刻度V2
3. 把小酒杯沉没在水中,记下水面到达的刻度V3
4. 计算:小酒杯漂浮在水面上
![]()
小酒杯沉没在水中时,它排开水的体积为V3-V1,即瓷杯自身瓷的体积。

版权声明
声明:有的资源均来自网络转载,版权归原作者所有,如有侵犯到您的权益
请联系本站我们将配合处理!
