压强的求解方法
1. 整体法
以整体为研究对象,对于液面高度变化及不同液体混合等问题运用整体法解决较为方便。
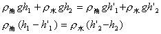
例、如图1所示,冰块浮在杯中水面上,且水面上覆盖有一层煤油。问:在冰完全熔化后,水面高度怎么变?油面厚度怎么变?

图1
分析与解:以冰块、水、煤油构成的整体为研究对象,油层和水层的厚度如图1所示和如图2所示,由于整体总重力不变,此整体对同样的杯底的压强不变,故有:

图2

显然,冰熔化成水后煤油层厚度变薄,即,故上式等号左端应为正。
所以,即水面上升。
故正确答案为:水面高度上升,煤油层厚度变薄。
2. 假设法
指在分析问题时,依据具体情况把问题中某个过程或条件假设为理想的物理过程或特殊条件,在此基础上进行分析,得出正确的结论。
例、如图3所示,一同学测定大气压时,测得水银柱高度为74cm,若此时外界为一个标准大气压,当玻璃管倾斜放置时,则管内水银柱( )
A. 长度变长,高度不变
B. 长度、高度都不变
C. 长度变长,高度减小
D. 长度、高度都变大

图3
分析与解:外界为一标准大气压,而水银柱高为74cm,则说明管中水银柱上方含有少量空气。当管倾斜放置时,假设水银柱长度不变,则水银柱高度变小。大气压对管中空气柱压强变大,空气柱体积变小,故水银柱长度变长。假设水银柱高度不变,则水银柱长度变长,空气柱长度变短,空气柱产生的压强变大,所以水银柱要下降,故高度减小,故正确答案为C。
3. 等效法
在效果相同的前提下,对复杂的物理问题,进行变换,达到化繁为简,化难为易的目的,在求解液体压力时,
![]()
,因而得到“液体对容器底部的压力等于以容器底面积为截面,以液体深度为高的液柱重”,灵活运用结论,许多题目便可迎刃而解。
例、 一只放在水平桌面上的密封的圆台形容器,其截面如图4所示,容器中装有一定量的水,水未装满,水对容器底压力、压强分别为F、p,与把容器倒置,水对容器底部的压力、压强
![]()
与F、p的大小关系是( )
A.
![]()
B.
![]()
C.
![]()
D.
![]()

图4
分析与解:上口小下口大,倒置后液面要上升,根据
![]()
,易得压强
![]()
;但压力
![]()
,倒置后,p变大、S变小,则不能确定F的变化情况。若根据“等效法”,正放
![]()
(如图5所示);倒放
![]()
(如图6所示),所以
![]()
,故正确答案为A。

图5 图6
4. 隔离法
将研究对象从其所处的系统中隔离出来,分析和研究其所处的状态即受力情况等。利用隔离法解题要特别注意正确选取隔离体。
例、如图7所示,圆柱形容器内部底面上有一个锥形的凸出体(它与容器底是连在一起的)。若该锥体质量为m,高为h,体积为V,底面积为S,当容器中倒入密度为
![]()
,深为
![]()
的液体时,锥体对容器的压强为多大?

图7
分析与解:如图7所示,将以锥体底面为底的液柱隔离出来,则这个液柱的重力加上锥体的重力,等于锥体对容器底部的压力,即
![]()
,再由
![]()
得:
![]()
。
5. 割补法
运用分割填补的手段,使事物的特点发生变化,这种变化有助于问题的解决。运用割补法解题时,要使经过割补后的问题与原来的问题意义相符。在比较液体压力、压强时,应用
![]()
求解时,有时各物理量的变化关系不十分清楚,若灵活的采用割补法,能起到事半功倍的效果。
例、如图8所示,甲、乙两只完全相同的圆台形容器内分别装有质量相等的水和煤油,设它对容器底部的压强分别为
![]()
则( )
A.
![]()
B.
![]()
C.
![]()
D. 无法确定

图8
分析与解:用
![]()
来考虑,甲中是水,
![]()
较大,但h较小;乙中是煤油,
![]()
较小,但h较大。
![]()
与h的乘积有何关系不清楚,容易得出“无法确定”。如用
![]()
来考虑,S为容器底面积是相同的,但F的大小不清楚,亦容易得出“无法确定”。现采用“割补法”考虑此问题,如图8所示那样割补的结果使得液体对容器底压强不变,使容器底面积变小了,并且使得液体对底面的压力等于液重。那么对于图8中甲、乙割补后的情况:甲割去的三角形较小,则留下的底面积S较大,这样经割补后甲、乙两容器中液体对底部的压力相等,而甲的底面积较大,因而得出
![]()
的结论,故正确答案为C。
6. 作图法
用作图法来直观的表示各物理量的关系,在解决某些问题时,利用作图法可以用帮助正确的认识物理过程,使抽象变具体,还能省去一些烦琐的运算。
例、设有
![]()
两种液体,且
![]()
,现有两只完全相同的圆柱形容器甲和乙,若取等体积的两种液体倒满甲容器,再取等质量的两种液体倒满乙容器。甲、乙两容器中液体分别对容器底的压力为
![]()
。则
![]()
的关系是:
![]()
。
分析与解:是圆柱形容器,压力大小等于液体重力大小,又因为重力大小与质量有关。所以本题实质就是比较两质量
![]()
的关系,此题可以用计算法求解,也可以用作图法求解,但作图法求解更快些。据题意作出图9,图甲中斜线部分为
![]()
,图乙中斜线部分为
![]()
,由
![]()
,可知图甲中斜线部分质量大于图乙中斜线部分的质量,推知
![]()
。
故填
![]()
。

图9
7. 估算法
通过审题、分析与比较并能结合生活实际,对某些过程或某些物理量作出估算,再通过适当的运算,得出合适的答案。
这类问题的求解要抓住事物的主要因素,略去次要因素。
例、一个中学生双脚站在水平地面上,他对地面的压强值接近于( )
A.
![]()
B.
![]()
C.
![]()
D.
![]()
分析与解:估算中学生重力G约为
![]()
,双脚鞋底面积S约为
![]()
,则对地面压力
![]()
,双脚站立时,鞋底与地面的接触面积即受力面积S为
![]()
,双脚站立时,对地面压强p为
![]()
,最接近
![]()
。
故正确答案为:B。
解题的关键是选择正确的解题方法,所以我们在平时的学习中要逐步培养勤于思考,善于总结,敢于分析,逐步培养良好的思维习惯,时时寻找最佳的解题方案,从而提高物理解题能力。
版权声明
声明:有的资源均来自网络转载,版权归原作者所有,如有侵犯到您的权益
请联系本站我们将配合处理!
