一、测量
1.1 主要知识点与考点
测量步骤:一估二选三读四记五算。
step1、估计被测物体的范围,作为测量工具选择的依据之一。
step2、选择合适的测量工具。选择考虑因素除了测量范围,还有精度要求。测量工具的量程决定了测量范围,工具的分度值决定了测量的精度。另外测量对象的特点也是考虑因素之一,比如测量腰围要用皮尺不能用直尺。
step3、读数。读数要注意看零刻度,要注意不要搞错分度值,要注意不要斜着看尺子,液面度数看中间(一般液体看凹面,水银看凸面)。如果不是零刻度开始测量的,要记录起始点读数和终点度数的差值。
step4、表格记录。物理学中的测量读数,为了减小误差,要多次测量求平均值,数据的记录非常重要。从数据记录中有时可以直接找出错误数据。记录时要注意有效数字。长度测量需要在最小分度后估计一位。
step5、计算。一般来说就是刚说的求平均值。注意两点:1、去掉错误数据。2、计算结果有效数字和读数的有效数字要相同。
解释一下step5。
首先,要明确误差是不可消除的,考试时出现“消除测量误差”的说法,一定是错误的。
其次、误差的大小一定小于测量工具的最小分度。最小分度为mm的直尺,测量误差一定小于1mm。据此可以排除掉可能的错误数据。(注意,错误和误差是两个完全不同的概念)
第三,计算结果的小数位要和读数一致。特别是最后一位为“0”的时候,千万不能省掉这个“0”。在物理上,3.20cm和3.2cm是两个不同的数字。(比如:3.20cm表示物体长度在3.195cm到3.204cm之间,而3.2cm表示物体长度在3.15cm到3.24cm之间)
例题1、(2017 沂水县一模,有修改)小明利用刻度尺测量一个物体的长度,四次测量的数据分别为2.35cm、2.36cm、2.63cm、2.36cm,则测量结果应记为()
A.2.36cm B.2.357 cm C.2.35 cm D.2.4 cm
[常规解析]
由题可知:
1、刻度尺最小分度值1mm
2、四个数据中,2.63cm一定是记录错误,计算时要舍去
3、计算(2.35cm+2.36cm+2.36cm)÷3=2.357cm
4、敲黑板第一次!!千万不要选B!!注意最终结果的有效位数,此题应选A。
如果是考试中遇到此题,千万不要计算!!千万不要计算!!千万不要计算!!此题正确的解题姿势应该是这样的:
[考场思路解析]
1、读题干,可知刻度尺最小分度值1mm,记录值都是两位小数
2、四个数据中,2.63cm一定是记录错误,计算时要舍去
3、看选项,直接排除两个小数位数不对的。
4、好了,剩下两个备选数,2.36cm和2.35cm,而三个有效测量数据中,两个2.36cm,一个2.35cm,你说他们的平均值更接近谁?是的,选A。
TIPs:不计算就不会算错!!
1.2 放大法
例题2:冬天室外温度低,钢尺的长度变小,用其进行长度测量时,测量结果有何影响(假设被测物体长度受温度的影响可忽略不计)?
此类题目,宜采用放大法。题目说钢尺长度变小,我们可以假设钢尺现在的长度变为原来的1/2,1/3或者更小,对题目答案是没有影响的,这时你再考虑读数和实际长度的大小关系,就显得清晰很多了。
类似的题目还有,皮尺用久了被拉长,对测量结果有何影响?砝码生锈(砝码变种)对测量结果有何影响?
TIPs:放大法(极限法也属于放大法)思想非常有用,需要好好体会,灵活运用。
1.3 质量的测量
注意不能手摸砝码,注意游码的位置,注意左物右码不要记反。
左物右码这个也很好记,因为物体放到天平左盘上就不需要动了,而右盘需要加减替换砝码,多数人都是用右手的,要是换到左边那就非常不方便了。讲这个的目的是想告诉大家,物理学里面真正需要死记硬背东西非常少,关键在于深入理解,究其原理,辅助记忆。
TIPs:物理中,数据一定要带单位,单位参与运算,这是物理与数学的一个不同点,需要注意。
二、运动
大家都已经知道运动是相对的,这里只讲一点:数轴法解相对运动判断题。
例题3、(2017 文登区一模)甲乙两人各乘一台升降机,甲看见楼房在匀速上升,乙也在匀速上升;乙看见楼房在匀速上升,甲在匀速下降,则他们相当于地面()
A.甲乙都下降,但甲比乙慢 B.甲乙都下降,且甲比乙快
C.甲上升,乙下降 D.甲下降,乙上升
这个例题比较简单,因为给了我们一个相对于地面静止的参照物“楼房”,只要抓住这一点,动脑分析一下就能得出正确结论。但是如果这个题目再稍微复杂一点,参照物不是楼房,而是未知(或已知)运动状态的电梯丙,再靠抽象思维得出正确结论就不那么容易了。这里介绍一个方法,将抽象的思维变成形象的数学图形,既简化思维能力要求,又减少出错机会。
数轴法解题步骤:
step1、画一个数轴,根据题目条件设定一个“正方向”。比如此题,可以设“电梯上升”为正。(这里的正方向可根据个人习惯设置,不影响做题结果)
step2、在数轴上标出研究对象的速度范围。楼房相对低面静止,则楼房的速度可以作为数轴的原点;甲看见楼房上升,则甲相对于楼房下降,因此甲的速度小于零;同理,乙的速度小于零;乙看到甲下降,则乙的速度大于甲,所以乙的速度值在数轴上的位置在甲和原点(楼房速度)之间。

step3、根据所画图像,得出结论。甲、乙均下降,且甲的下降速度大于乙。
step4、对于简单题目,前三步已经搞定了。考场上为了稳妥,还是建议进行一下第四步:设定数值,代入验证。比如,设甲2m/s下降,乙1m/s下降,看是否符合题意。
以上可见,该方法每次比较两个研究对象之间的运动关系,并使用数学图形将抽象的问题形象化,对于正确解决此类问题非常有效。
TIPs:
1、有些题目可能找不到原点,即只知道相对速度,无法判断速度值的正负。
2、注意参照物不要混,深入理解相对。
这里顺带强调一点:做题的时候切记标出题干里的关键字,动手写和画,对于结果比较类的题目,不能、不能、不能凭感觉,要用数据说话!!
三、速度
3.1
这一部分,就是数学里面的“行程问题”,但又和数学有稍稍的区别。这里只需要记住一个公式:v=s/t。
这个貌似都懂,小学就学过了,但做题的时候却往往出错,所以有必要在解释一下这个公式。这个公式告诉我们:要求平均速度,一定是总路程除以总时间,不要想其它。讲例题之前强调一件事:注意单位!!单位不同的时候要先统一单位。
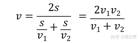
例题4、小明爸爸家离工作单位的距离s=15km,上班开车平均速度为v1=30km/h,下班开车平均速度v2=50km/h,求小明爸爸开车上下班的平均速度v。
[分析]
相信此题都能做出来:先求上班所用时间t1,再求下班所用时间t2,然后总路程除以总时间得到平均速度。这样的话,咱们成功的把一道初二物理题目做成了小学数学题。
前面说的这个做法不能说错,但是,But... ...,缺少了物理解题思想。物理解题思想之一:先推导,后代数。
[解析]
由题,平均速度

然后将速度值代入求解即可。
这里你会发现路程15km是多余条件,根本没有用到。先推导后代数将其约掉了,简化了计算。
类似地,请自行求解下题:
例题5、已知匀速行走的物体,在前一段时间t1内以速度v1做匀速直线运动,在后一段时间t2内以速度v2做匀速直线运动,求当t1=t2=t/2时,在时间t内的平均速度。并试求t1、t2时为任意值时的平均速度。
3.2 图像法
本讲最后介绍图像法解速度问题。此部分初三的同学最好能熟练掌握,初二的同学作为了解。这一部分,需要掌握s-t图像和v-t图像。

对于s-t图像,需要了解一点,就是图中直线的斜率代表物体运动的速度。貌似很简单哈,接下来,问题来了,请看题:

问题1、图中甲、乙分别作什么运动?
问题2、图中t1时刻,甲、乙的位置关系是什么?
问题3、图中t0时刻,甲、乙的平均速度谁大?为什么?
问题4、图中t1时刻,甲、乙的平均速度谁大?为什么?
问题5、图中t0到t1之间,甲、乙的平均速度谁大?为什么?
接下来,稍微复杂一点点的v-t图像:

对于v-t图像,我们分析一下图中阴影部分的面积所对应的物理含义。很明显,面积s=vt,恰好等于路程是不是?这就是v-t图像需要了解的一个关键点:速度图像与时间轴所围成的图形的面积代表物体运动的路程。
该结论不光对匀速直线运动成立,对变速运动同样成立。
作业:请利用图像法重做例题4和例题5。
课后练习:
1、

2、(2017 六盘水)课外活动时,小明和小刚在操场上沿直线跑道跑步,如图所示是他们通过的路程随时间变化的图象,则下列说法正确的是()
A.前2s内,小刚跑得较快
B.两人都做变速运动
C.两人都做匀速直线运动
D.全程中,小刚的平均速度大于小明的平均速度

版权声明
声明:有的资源均来自网络转载,版权归原作者所有,如有侵犯到您的权益
请联系本站我们将配合处理!
