做初一下册数学的计算题需要熟悉习题中所涉及的内容,包括定义、公式、定理和规则。解题、做练习只是学习过程中的一个环节,而不是学习的全部,你不能为解题而解题。熟悉习题中所涉及到的以前学过的知识,以及与其他学科相关的知识。

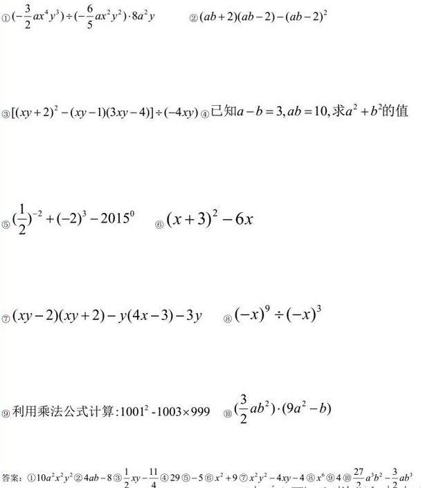
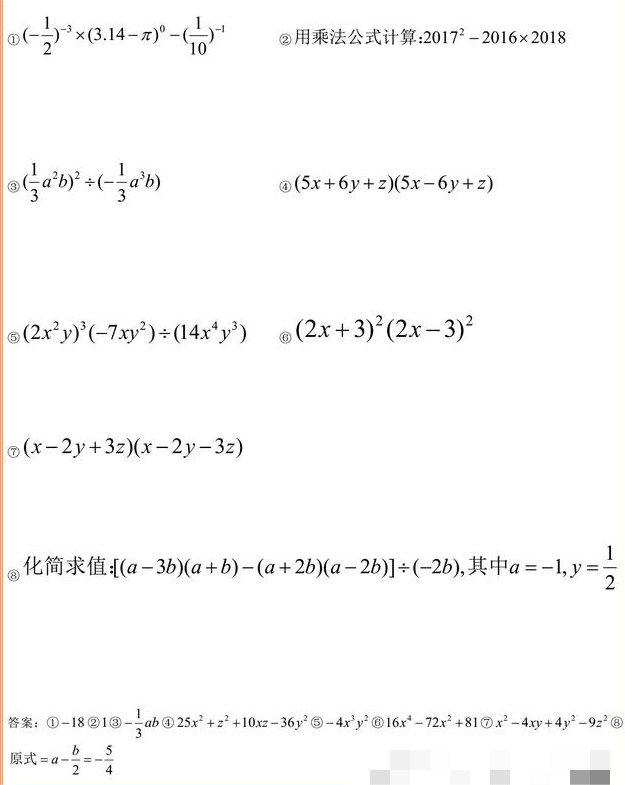
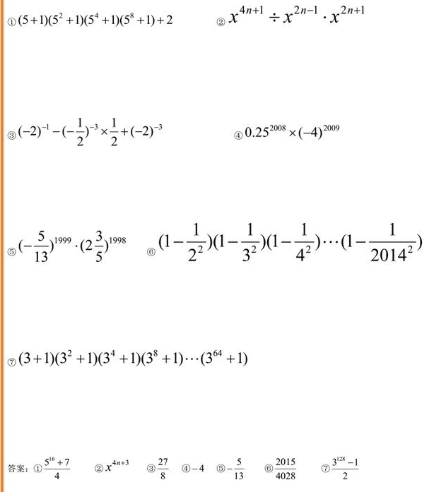
初一下册数学必刷计算题





初一下册数学计算题解题技巧
一、熟悉习题中所涉及的内容,包括定义、公式、定理和规则。
解题、做练习只是学习过程中的一个环节,而不是学习的全部,你不能为解题而解题。解题是为阅读服务的,是检查你是否读懂了教科书,是否深刻理解了其中的概念、定理、公式和规则,能否利用这些概念、定理、公式和规则解决实际问题。解题时,我们的概念越清晰,对公式、定理和规则越熟悉,解题速度就越快。
二、熟悉习题中所涉及到的以前学过的知识,以及与其他学科相关的知识。
有时候,我们遇到一道不会做的习题,不是我们没有学会现在所要学会的内容,而是要用到过去已经学过的一个公式,而我们却记得不很清楚了;或是需用到一个特殊的定理,而我们却从未学过,这样就使解题速度大为降低。
这时,我们应先补充一些必须补充的'相关知识,弄清楚与题目相关的概念、公式或定理,然后再去解题,否则就是浪费时间,当然,解题速度就更无从谈起了。
版权声明
声明:有的资源均来自网络转载,版权归原作者所有,如有侵犯到您的权益
请联系本站我们将配合处理!
上一篇 : 初一下册计算题100道 做题高效的方法是什么
下一篇 :初二数学成绩差怎么补救 有什么方法
