高次三角函数积分公式大全 什么是积分公式
高次的三角函数的原函数一般都是通过不断地将次,然后进行积分的。不过可以通过记下sinx和cosx的高次函数的积分公式,帮助快速解题。三角函数是基本初等函数之一,是以角度(数学上最常用弧度制,下同)为自变量,角度对应任意角终边与单位圆交点坐标或其比值为因变量的函数。

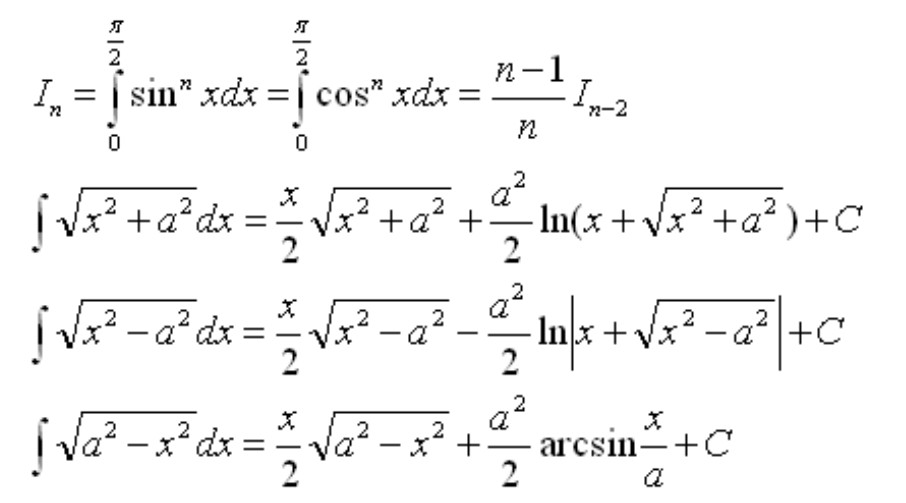
高次三角函数积分公式
1、基本积分公式

基本积分公式

基本积分公式
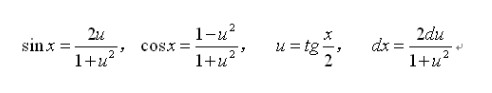
2.三角函数的有理式积分公式

三角函数的有理式积分公式
什么是积分公式
积分是微分的逆运算,即知道了函数的导函数,反求原函数。在应用上,积分作用不仅如此,它被大量应用于求和,通俗的说是求曲边三角形的面积,这巧妙的求解方法是积分特殊的性质决定的。主要分为定积分、不定积分以及其他积分。积分的性质主要有线性性、保号性、极大值极小值、绝对连续性、绝对值积分等。
设f(x)是函数f(x)的一个原函数,我们把函数f(x)的所有原函数F(x) C(C为任意常数)叫做函数f(x)的不定积分,记作,即∫f(x)dx=F(x) C.其中∫叫做积分号,f(x)叫做被积函数,x叫做积分变量,f(x)dx叫做被积式,C叫做积分常数,求已知函数不定积分的过程叫做对这个函数进行积分。
版权声明
声明:有的资源均来自网络转载,版权归原作者所有,如有侵犯到您的权益
请联系本站我们将配合处理!
上一篇 : 三角形斜长计算公式是什么 求三角形斜边长公式
下一篇 :三角函数极限公式大全 两角和公式
