智慧树知到《流体力学》见面课答案
见面课:恒定总流能量方程和动量方程的应用
1、问题:如图,水泵的提水高度z,抽水流量Q,已知吸水管和压水管的直径相同,离心泵的效率η1,电动机的效率η2,设总水头损失hw,电动机应有的功率

。

选项:
A:对
B:错
答案: 【错】
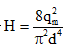
2、问题:如图,水从敞口水池沿一截面有变化的管路排出,若质量流量为qm,不计损失,则所需的水头

。

选项:
A:对
B:错
答案: 【错】
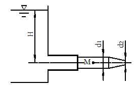
3、问题:如图,已知输水管直径d,水银压差计读数Δh,断面平均流速为A点流速的k倍,则管道的体积流量


选项:
A:对
B:错
答案: 【对】
4、问题:如图,流量为Q、平均流速为v的射流,冲击直立平板后分成两股,一股沿板面直泻而下,流量为Q1,另一股以倾角α射出,流量为Q2,两股分流的平均速度均等于v。若不计摩擦力和重力影响,则射流冲击平板的作用力的大小等于

。

选项:
A:对
B:错
答案: 【对】
5、问题:溢流坝宽度为B(垂直于纸面),上游和下游水深分别为h1和h2,不计水头损失,设坝体对水流水平方向的作用力为F(向左),则水平方向的动量方程为
23
1、问题:如图,水泵的提水高度z,抽水流量Q,已知吸水管和压水管的直径相同,离心泵的效率η1,电动机的效率η2,设总水头损失hw,电动机应有的功率

。

选项:
A:对
B:错
答案: 【错】
2、问题:如图,水从敞口水池沿一截面有变化的管路排出,若质量流量为qm,不计损失,则所需的水头

。

选项:
A:对
B:错
答案: 【错】
3、问题:如图,已知输水管直径d,水银压差计读数Δh,断面平均流速为A点流速的k倍,则管道的体积流量


选项:
A:对
B:错
答案: 【对】
4、问题:如图,流量为Q、平均流速为v的射流,冲击直立平板后分成两股,一股沿板面直泻而下,流量为Q1,另一股以倾角α射出,流量为Q2,两股分流的平均速度均等于v。若不计摩擦力和重力影响,则射流冲击平板的作用力的大小等于

。

选项:
A:对
B:错
答案: 【对】
5、问题:溢流坝宽度为B(垂直于纸面),上游和下游水深分别为h1和h2,不计水头损失,设坝体对水流水平方向的作用力为F(向左),则水平方向的动量方程为
23
版权声明
声明:有的资源均来自网络转载,版权归原作者所有,如有侵犯到您的权益
请联系本站我们将配合处理!
上一篇 : 大熊猫爱吃的竹子,实际上是什么?
