智慧树知到《线性代数》见面课答案
见面课:拨开行列式的迷雾
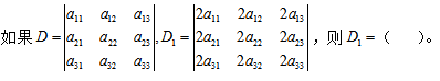
1、问题:

选项:
A:2
B:

C:

D:3
答案: 【

】
2、问题:

选项:
A:2
B:1
C:

D:3
答案: 【1】
3、问题:

选项:
A:

B:

C:

D:

答案: 【
2
1、问题:

选项:
A:2
B:

C:

D:3
答案: 【

】
2、问题:

选项:
A:2
B:1
C:

D:3
答案: 【1】
3、问题:

选项:
A:

B:

C:

D:

答案: 【
2
版权声明
声明:有的资源均来自网络转载,版权归原作者所有,如有侵犯到您的权益
请联系本站我们将配合处理!
上一篇 : 智慧树知到《解析人体的奥秘》见面课答案
