(20分)薄凸透镜放在空气中时,两侧焦点与透镜中心的距离相等。如果此薄透镜两侧的介质不同,其折射率分别为和,则透镜两侧各有一个焦点(设为和),但
问题描述:
( 20 分)薄凸透镜放在空气中时,两侧焦点与透镜中心的距离相等。如果此薄透镜两侧的介质不同,其折射率分别为
和
,则透镜两侧各有一个焦点(设为
和
),但
、
和透镜中心的距离不相等,其值分别为
和
。现有一个薄凸透镜
,已知此凸透镜对平行光束起会聚作用,在其左右两侧介质的折射率及焦点的位置如图复 19-5 所示。
1 .试求出此时物距
,像距
,焦距
、
四者之间的关系式。
2 .若有一傍轴光线射向透镜中心,已知它与透镜主轴的夹角为
,则与之相应的出射线与主轴的夹角
多大?
3 .
,
,
,
四者之间有何关系?
最佳答案: 参考解答
利用焦点的性质,用作图法可求得小物
的像
,如下图所示。
(1)用
和
分别表示物和像的大小,则由图中的几何关系可得
(1)
简化后即得物像距公式,即
,
,
,
之间的关系式
(2)
(2)薄透镜中心附近可视为筹薄平行板,入射光线经过两次折射后射出,放大后的光路如图复解19-5-2所示。图中
为入射角,
为与之相应的出射角,
为平行板中的光线与法线的夹角。设透镜的折射率为
,则由折射定律得
(3)
对傍轴光线,
、
≤1,得
,
,因而得
(4)
(3)由物点
射向中心
的入射线,经
折射后,出射线应射向
,如图复解19-5-3所示,
在傍轴的条件下,有
(5)
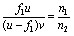
二式相除并利用(4)式,得
(6)
用(1)式的
代入(6)式,得
即
(7)
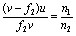
用(1)式的
代入(6)式,得
即
(8)
从而得
,
,
,
之间关系式
(9)
版权声明
声明:有的资源均来自网络转载,版权归原作者所有,如有侵犯到您的权益
请联系本站我们将配合处理!
