一个静止的铀核(原子一个静止的铀核(原子质量为232.0372u)放出一个α粒子(原子质量为4.0026u)后衰变成钍核(原子质量为228.0287u).(已知:原子质量单位1u=1.67×10-27
问题描述:
一个静止的铀核(原子| 一个静止的铀核(原子质量为232.0372u)放出一个α粒子(原子质量为4.0026u)后衰变成钍核(原子质量为228.0287u).(已知:原子质量单位1u=1.67×10 -27 kg,1u相当于931MeV) (1)写出核衰变反应方程; (2)算出该核衰变反应中释放出的核能; (3)假设反应中释放出的核能全部转化为钍核和α粒子的动能,则钍核获得的动能有多大? |
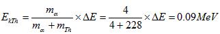
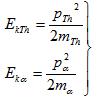
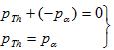
最佳答案: (1) (2)质量亏损△m=0.0059u, △E=△mc 2 =0.0059×931MeV=5.49MeV (3)系统动量守恒,钍核和α粒子的动量大小相等,即 ? , 所以钍核获得的动能 . |
版权声明
声明:有的资源均来自网络转载,版权归原作者所有,如有侵犯到您的权益
请联系本站我们将配合处理!

?
,
.