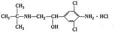
央视一台在2011年“3.15”晚会上,曝光了河南孟州、温县等地一些养猪场,采用违禁动物药品“瘦肉精”喂养生猪.如图是“痩肉精一盐酸克伦特罗”的结构,下列说法正确的是(
问题描述:
央视一台在2011年“3.15”晚会上,曝光了河南孟州、温县等地一些养猪场,采用违禁动物药品“瘦肉精”喂养生猪.如图是“痩肉精一盐酸克伦特罗”的结构,下列说法正确的是( )
|
最佳答案: A、甲烷是正四面体结构,所有原子都不在同一平面上,该分子相当于甲烷中的氢原子被三个甲基和一个 取代,所以该分子中所有碳原子不可能在一个平面内,故A错误. B、该分子的化学式为C 12 H 19 Cl 3 N 2 O,摩尔质量为313.5g/mol,故B错误. C、该分子中不含碳碳双键,所以不能和溴发生加成反应,故C错误. D、苯环上的氯原子能被羟基取代生成酚羟基,同时有盐酸生成,酚羟基、盐酸能和氢氧化钠发生中和反应,该有机物分子中含有的盐酸也能和氢氧化钠反应,所以1mol该化合物最多可以与5molNaOH反应,故D正确. 故选D. |
版权声明
声明:有的资源均来自网络转载,版权归原作者所有,如有侵犯到您的权益
请联系本站我们将配合处理!
