某工厂产品计数装置的示意图如图甲所示。P为激光源,为光敏电阻(有光照射时,阻值变小),a、b两端接“示波器”(示波器对电路无影响),定值电阻为400Ω,电源电压为6V。水平传送带匀
问题描述:
某工厂产品计数装置的示意图如图甲所示。P为激光源,
为光敏电阻(有光照射时,阻值变小),a、b两端接“示波器”(示波器对电路无影响),定值电阻
为400Ω,电源电压为6V。水平传送带匀速运动,每当传送带上的产品通过激光束时,激光束会被产品挡住,示波器荧光屏上显示的
两端电压与时间的关系图象如图乙所示。试求:
(1)激光照射
时,
的阻值是多少?(2)激光被产品挡住时,
、
消耗的总功率是多少?(3)从0时开始计时,经过1min,传送带上通过计数装置的产品是多少个?____
最佳答案: 【分析】有激光照射和无激光照射,
与
串联。
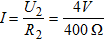
(1)有激光照
时,
阻值变小,所以两端电压小,由图象知此时
两端的电压
=2V,则可求出
两端的电压;根据欧姆定律,可求出通过
的电流;根据串联电路电流处处相等,可得通过
的电流,则可求
的电阻。
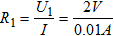
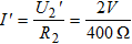
(2)
无激光照时,由图象可得
=4V,求出
的电压,根据欧姆定律,可求出电路中的电流,根据P=UI求出电功率。
(3)由图象可知,当产品挡住激光柱时,电压为4V,即0.4~0.6s内,有一个产品通过计数器装置。观察图象每经过0.6s,就有一个产品通过计数装置,则可求出1min通过的产品个数。(1)
与
串联,有激光照
时,由图象可得
两端的电压
=2V,则
两端的电压
=6V-2V=4V。
则电路中的电路
=0.01A
根据欧姆定律得此时电阻
的电阻
=200Ω
(2)
无激光照时,由图象可得
两端的电压
=4V,则
两端的电压
=6V-4V=2V。
则电路中的电路
=0.005A
此时
、
消耗的总功率P=UI'=6V×0.005A=0.03W
(3)由图象可知:每经过0.6s,就有一个产品通过计数装置。
则1min内传送带上通过计数装置的产品数量
=100(个)
答:(1)激光照射
时,
的阻值是200Ω;(2)激光被产品挡住时,
、
消耗的总功率是0.03W;(3)从0时开始计时,经过1min,传送带上通过计数装置的产品是100个。【点评】本题考查了串联电路的电流特点、电压特点、功率特点、欧姆定律等几个重要知识点。注意本题光敏电阻随光照而变化,能通过图象观察光敏电阻两端的电压变化。
版权声明
声明:有的资源均来自网络转载,版权归原作者所有,如有侵犯到您的权益
请联系本站我们将配合处理!
