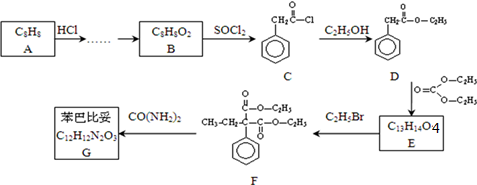
苯巴比妥是安眠药的成分,化学式为C12H12N2O3,分子结构中有两个六元环:如下图是以A为原料合成苯巴比妥的流程示意图.完成下列填空.已知:①有机物D、E中亚甲基(-CH2-)的氢原子受羰
问题描述:
苯巴比妥是安眠药的成分,化学式为C12H12N2O3,分子结构中有两个六元环:如下图是以A为原料合成苯巴比妥的流程示意图.完成下列填空.
已知:①有机物D、E中亚甲基(-CH2-)的氢原子受羰基影响活性较高,容易发生如下反应:


②

(1)芳香烃A与HCl反应后,制取B还需进行反应的类型依次为___.
(2)一种酯与B互为同分异构体,且苯环上只有一个取代基,该酯同分异构体有___种,写出其中一种结构的系统命名___.
(3)写出D转化为E的化学方程式:___
(4)苯巴比妥G的结构简式:___
(5)E与CO(NH2)2在一定条件下合成的高分子结构简式:___
(6)已知:
,请设计合理方案以B的同系物
为原料合成
(用合成路线流程图表示为:A | 反应试剂 |
| 反应条件 |
| 反应试剂 |
| 反应条件 |
最佳答案: (1)由A得分子式判断A是,由C的结构简式可知B是,所以A与HCl加成后得卤代烃,再发生取代反应得醇,然后氧化得到B,故答案为:取代、氧化;(2)B的同分异构体属于酯类,且只有1个取代基,所以符合条件的B的同分异构...
版权声明
声明:有的资源均来自网络转载,版权归原作者所有,如有侵犯到您的权益
请联系本站我们将配合处理!
