从某小学随机抽取100名同学,将他们的身高(单位:厘米)数据绘制成频率分布直方图(如图).
(1)若要从身高在[120,130),[130,140),[140,150]三组内的学生中,用分层抽样的方法选取12人参加一项活动,求图中的a值及从身高在[140,150]内的学生中选取的人数m.
(2)在(1)的条件下,从身高在[130,150]内的学生中等可能地任选两名,求至少有一名身高在[140,150]内的学生被选的概率.

解:(1)由频率分布直方图得
10(0.005+0.01+0.02+a+0.035)=1,
解得a=0.03…(2分)
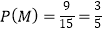
∴m=
.
(2)从身高在[130,140]内的学生中选取的人数为:
n=
设身高在[130,140]内的学生为A1 , A2 , A3 , A4 ,
身高在[140,150]内的学生为B1 , B2 ,
则从6人中选出两名的一切可能的结果为:
,
,
(A2 , A3),
(A2 , A4)(A3 , A4)(A1 , B1),(A1 , B2)(A2 , B1)(A2 , B2),
(A3 , B1)(A3 , B2)(A4 , B1),(A4 , B2)(B2 , B1)…(10分)
由15个基本事件组成.
用M表示“至少有一名身高在[140,150]内的学生被选”这一事件,
则M={
,
,
,
,
,
,
,
,
},
事件M由9个基本事件组成,
因而
(1)由频率分布直方图得10(0.005+0.01+0.02+a+0.035)=1,由此能求出结果.
(2)从身高在[130,140]内的学生中选取的人数为n=
人,由此能求出至少有一名身高在[140,150]内的学生被选的概率.
【考点精析】解答此题的关键在于理解频率分布直方图的相关知识,掌握频率分布表和频率分布直方图,是对相同数据的两种不同表达方式.用紧凑的表格改变数据的排列方式和构成形式,可展示数据的分布情况.通过作图既可以从数据中提取信息,又可以利用图形传递信息.
版权声明
声明:有的资源均来自网络转载,版权归原作者所有,如有侵犯到您的权益
请联系本站我们将配合处理!
