学好数学,关键会整理记录知识点框架图才是重要的,在今后的中考的考试中也是比较有用的。那么,下面,小编为大家整理一下初三数学计算题集锦大全及答案仅供大家参考 。
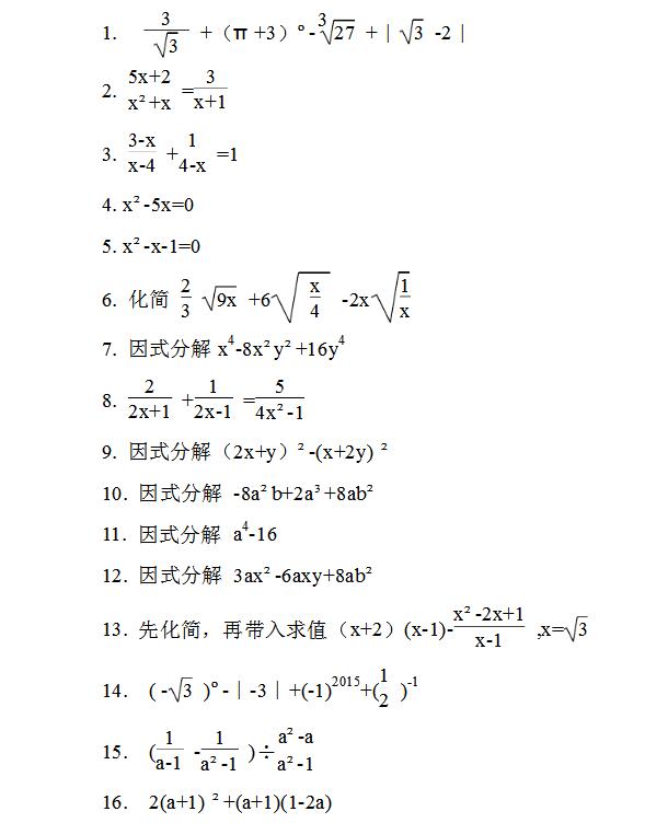
初三数学计算题集锦


初三数学计算题方法及技巧
解计算题的一般要求:
(1)要明确已知条件和相对隐含条件,确定主要解题步骤。
(2)分析判断,找到解题的理论依据。
(3)分清各个物理过程、状态及其相互联系。
(4)计算过程应正确、规范。要正确写出有关的公式,正确代入公式中物理量的数字和单位。能画图的可以作图辅佐解题。
练习掌握计算规律和技巧
掌握计算习惯和基本知识对于初中生的计算来说还是远远不够的,平时还应该加强计算技巧的训练,特别是一些典型的计算技巧,这个也是初中数学计算能力的提升方法。在期中、期末考试的难题、附加题中甚至中考的技巧性运算里都会出现。
巧解计算理解符号
1.尽量用常规方法,使用通用符号答题
1) 掌握通用解题技巧,以不变应万变。
2) 使用准确的物理符号。
比如像时间、路程、摩擦力等等,这些物理量都是有相应的通用符号的,规范的选择即可,但是也要避免和题目中已有的符号冲突。
3) 简单的技巧练到极致就是绝招。
以上所有方法,可能同学们刚运用时感到吃力,但是只是有意识地训练之后,慢慢就可以游刃有余了。所以加强基本方法的训练至关重要。
以上就是小编为大家整理的初三数学计算题集锦大全及答案,希望能帮助到大家,更多中考信息请继续关注本站!
版权声明
声明:有的资源均来自网络转载,版权归原作者所有,如有侵犯到您的权益
请联系本站我们将配合处理!
上一篇 : 备考2018:史上最全的初中数学解题技巧
下一篇 :二次函数压轴题解题技巧
