高中数列是非常重要的考点,关于数列的考题虽然表面看去变化多样,但看其本质,可归结为两大类:求一个数列的通项an,求一个数列的前n项和。这篇文章就针对等差和等比数列求和公式给出推导和证明过程。

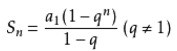
等比数列前n项和公式

公式中a1为数列首项,q为等比数列的公比,Sn为前n项和。
等差数列等比数列前n项和公式

等比数列求通项方法

版权声明
声明:有的资源均来自网络转载,版权归原作者所有,如有侵犯到您的权益
请联系本站我们将配合处理!
上一篇 : 等差数列的前n项和公式及推导过程
下一篇 :二元一次方程的解法和公式有哪些
