工业上从煤干馏粗产品煤焦油中可以分离出萘,以萘为主要原料合成除草剂敌草胺的流程图如下:(1)试剂X是;A生成B时,有另一种一溴代物副产物,它的结构简式为;(2)D的结构
问题描述:
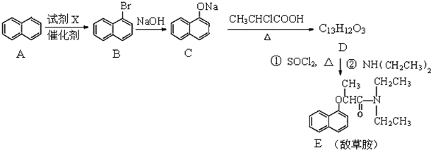
工业上从煤干馏粗产品煤焦油中可以分离出萘,以萘为主要原料合成除草剂敌草胺的流程图如下:
(1)试剂X是 ___;A生成B时,有另一种一溴代物副产物,它的结构简式为 ___;
(2)D的结构简式为 ___;
(3)写出同时满足下列条件的D的一种同分异构体的结构简式: ___.
①是A的衍生物,且取代基都在同一个苯环上;
②能与金属钠反应放出H2,遇氯化铁溶液不显紫色;
③可发生水解反应,其中一种水解产物能发生银镜反应,另一种水解产物分子中有5种不同化学环境的氢原子.
(4)已知:RCH2COOH
| PCI3 |
| △ |
,写出以苯酚、乙醇和乙酸为原料制备
的合成路线流程图(无机试剂任用).合成路线流程图例如下:H2C=CH2
| HBr |
| NaOH溶液 |
| △ |
最佳答案: (1)对比A、B的结构可知,A生成B为苯环上发生取代反应,可知X为液溴,而-Br也可发生2号碳上取代反应,则副产物为,故答案为:液溴;;(2)对比D的分子式、NH(CH2CH3)2与E的结构,可以确定D的结构简式为,故答案...
版权声明
声明:有的资源均来自网络转载,版权归原作者所有,如有侵犯到您的权益
请联系本站我们将配合处理!
