化学选修3:物质结构与性质(15分)黑火药是我国古代的四大发明之一,距今已有1000多年的历史,其成分是木炭(C)、硫粉(S)和硝酸钾(KNO3)。回答下列有关问题:(1)黑火药爆炸
问题描述:
化学选修3:物质结构与性质(15分)黑火药是我国古代的四大发明之一,距今已有1000多年的历史,其成分是木炭(C)、硫粉(S)和硝酸钾(KNO3)。回答下列有关问题:
(1)黑火药爆炸生成无毒的气体和K2S,该反应的化学方程式为?????? ?????????。
(2)Se与S同主族,则Se原子的核外电子排布式为〔Ar〕??????? ,有??? 对成对电子。
(3)C、N、O、K的电负性由大到小的顺序是???????????????? 。
(4) 黑火药爆炸除生成K2S外,还生成少量K2S2,其结构类似于Na2O2。则K2S2中含有的化学键类型为?????????????? 。
(5) K2S遇酸生成H2S,H2S分子中,S原子的杂化轨道类型是???????? ;KNO3可电离出NO3-,NO3-的空间构型是????????????? 。
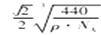
(6) K2S的晶胞结构如右图所示。其中K+的配位数为?????? ,若K2S晶体的密度为ρg·cm-3,则晶胞中距离最近的两个S2-核间距为???????? cm(用NA表示阿伏伽德罗常数的值)

最佳答案: (1)2KNO3+S+3C
K2S+N2↑+3CO2↑(2分)
(2)3d104s24p4(2分)??? 16(1分)
(3)O>N>C>K(1分)
(4)离子键、共价键(或“离子键、非极性共价键”,2分)
(5)sp3(1分)? 平面三角形(1分)
(6)4(2分)?
??(3分)
版权声明
声明:有的资源均来自网络转载,版权归原作者所有,如有侵犯到您的权益
请联系本站我们将配合处理!
