某电器厂欲设计一种高、中、低温三挡的家用电饭锅,要求高温发热功率为1000W,其发热体电阻丝如图所示,A、B、C为三个接线柱,B是电阻丝的中点(电源电压保持不变)(1)说明各
问题描述:
| 某电器厂欲设计一种高、中、低温三挡的家用电饭锅,要求高温发热功率为1000W ,其发热体电阻丝如图所示,A 、B 、C 为三个接线柱,B 是电阻丝的中点(电源电压保持不变) (1)说明各档位的连接方式(文字表述、画图说明均可); (2)分别计算出中、低两挡的发热功率. |
|
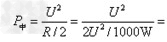
最佳答案: | (1)A﹑C为一接线柱,B为另一接线柱,电饭锅处于高温挡; A或C为一接线柱,B 为另一接线柱,电饭锅处于中温挡; A为一接线柱,C 为另一接线柱,电饭锅处于低温挡. (2)设电饭锅电阻丝的总电阻为R电饭锅处于高温挡时,据 电饭锅处于中温挡时, 500W;饭锅处于低温挡时, =250W。 |
版权声明
声明:有的资源均来自网络转载,版权归原作者所有,如有侵犯到您的权益
请联系本站我们将配合处理!

500W;
=250W。