如图所示,一根跨越一固定水平光滑细杆的轻绳两端拴有两个质量均为m的小球a和b(可视为质点),Oa段的长度为L1,Ob段的长度为L2,且L1>L2,球a置于地面,球b被拉到与细杆同一
问题描述:
| 如图所示,一根跨越一固定水平光滑细杆的轻绳两端拴有两个质量均为m的小球a和b(可视为质点), Oa段的长度为L 1 ,Ob段的长度为L 2 ,且L 1 >L 2 ,球a置于地面,球b被拉到与细杆同一水平的位置,在绳刚拉直时放手,小球b从静止状态向下摆动,当球b摆到最低点时,恰好与球a在同一水平位置发生碰撞并粘合在一起,设碰撞时间极短,往后两球以O点为圆心做圆周运动,若已知碰前瞬间球a的速度大小为v a ,方向竖直向上,轻绳不可伸长且始终处于绷紧状态,(已知a,b质量相同)求: (1)球b在碰撞前瞬间的速度大小; (2)两小球粘合后将做圆周运动时绳中张力的大小。 |
|
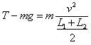
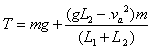
最佳答案: (1)由系统机械能守恒得 得 ,方向斜向下 (2)当球b运动到最低点时,其竖直方向的速度与v a 大小相等,方向相反(因为绳长不变),球b在水平方向的速度 而与球a在水平方向碰撞动量守恒,有mv bx =2mv 设绳中张力为T,由牛顿第二定律得 解得 |
版权声明
声明:有的资源均来自网络转载,版权归原作者所有,如有侵犯到您的权益
请联系本站我们将配合处理!

,方向斜向下