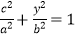
设F1 , F2分别是C:+=1(a>b>0)的左,右焦点,M是C上一点且MF2与x轴垂直,直线MF1与C的另一个交点为N.
设F1 , F2分别是C:
+
=1(a>b>0)的左,右焦点,M是C上一点且MF2与x轴垂直,直线MF1与C的另一个交点为N.
(1)若直线MN的斜率为
, 求C的离心率;
(2)若直线MN在y轴上的截距为2,且|MN|=5|F1N|,求a,b.
【答案】解:(1)∵M是C上一点且MF2与x轴垂直,
∴M的横坐标为c,当x=c时,y=
,即M(c,
),
若直线MN的斜率为
,
即tan∠MF1F2=
,
即b2=
ac=a2﹣c2 ,
即c2+
ac﹣a2=0,
则
,
即2e2+3e﹣2=0
解得e=
或e=﹣2(舍去),
即e=
.
(Ⅱ)由题意,原点O是F1F2的中点,则直线MF1与y轴的交点D(0,2)是线段MF1的中点,
设M(c,y),(y>0),
则
,即
,解得y=
,
∵OD是△MF1F2的中位线,
∴
=4,即b2=4a,
由|MN|=5|F1N|,
则|MF1|=4|F1N|,
解得|DF1|=2|F1N|,
即
=2
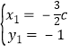
设N(x1 , y1),由题意知y1<0,
则(﹣c,﹣2)=2(x1+c,y1).
即
,即
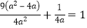
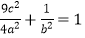
代入椭圆方程得
,
将b2=4a代入得
,
解得a=7,b=2
.

(1)根据条件求出M的坐标,利用直线MN的斜率为
, 建立关于a,c的方程即可求C的离心率;
(2)根据直线MN在y轴上的截距为2,以及|MN|=5|F1N|,建立方程组关系,求出N的坐标,代入椭圆方程即可得到结论.
版权声明
声明:有的资源均来自网络转载,版权归原作者所有,如有侵犯到您的权益
请联系本站我们将配合处理!
