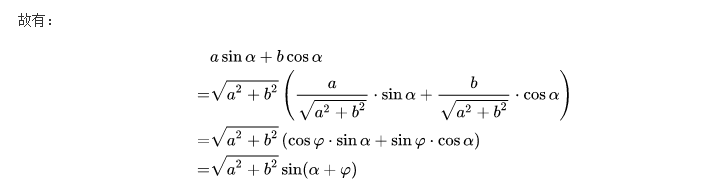
三角函数是数学中属于初等函数中的超越函数的函数。本文整理了三角函数公式,欢迎阅读。

三角函数公式







三角函数意义
在定义上讲
三角函数是数学中常见的一类关于角度的函数。也就是说以角度为自变量,角度对应任意两边的比值为因变量的函数叫三角函数,三角函数将直角三角形的内角和它的两个边长度的比值相关联,也可以等价地用与单位圆有关的各种线段的长度来定义。
三角函数在研究三角形和圆等几何形状的性质时有重要作用,也是研究周期性现象的基础数学工具。在数学分析中,三角函数也被定义为无穷级限或特定微分方程的解,允许它们的取值扩展到任意实数值,甚至是复数值。
在分类上讲
常见的三角函数包括正弦函数、余弦函数和正切函数。在航海学、测绘学、工程学等其他学科中,还会用到如余切函数、正割函数、余割函数、正矢函数、半正矢函数等其他的三角函数。不同的三角函数之间的关系可以通过几何直观或者计算得出,称为三角恒等式。
以上就是小编整理的三角函数公式,供参考!
版权声明
声明:有的资源均来自网络转载,版权归原作者所有,如有侵犯到您的权益
请联系本站我们将配合处理!
上一篇 : sin cos tan度数公式表
下一篇 :根号的四则运算公式是什么
