小编为大家整理了一元多次函数的数学知识点,大家跟随小编一起学习一下吧。

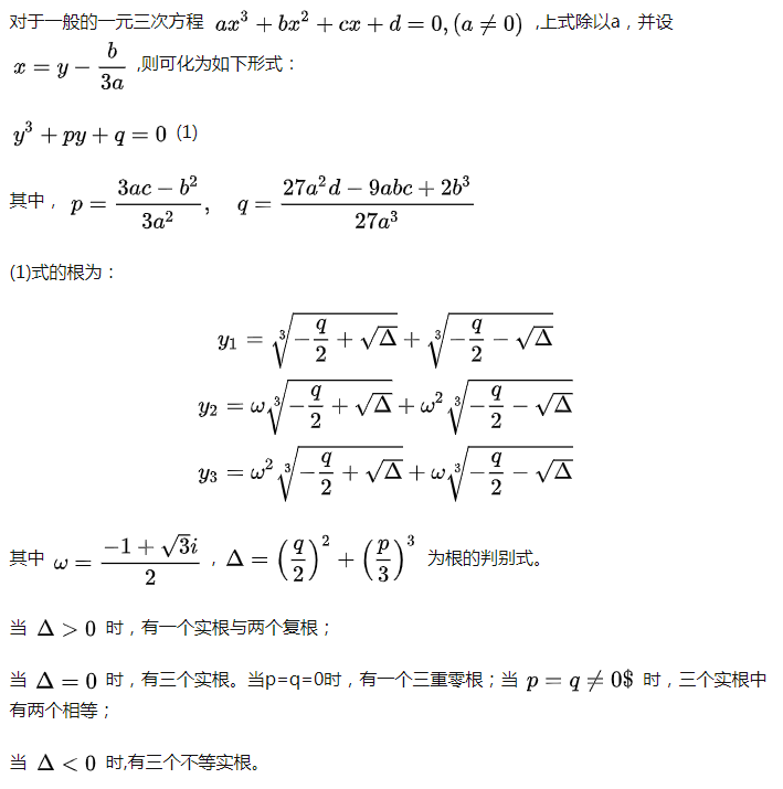
一元三次方程求根公式
当Δ=(q/2)2+(p/3)3>0时,方程有一个实根和一对共轭虚根;
当Δ=(q/2)2+(p/3)3=0时,方程有三个实根,其中有一个两重根;
当Δ=(q/2)2+(p/3)3<0时,方程有三个不相等的实根。
一元二次方程求根公式
当Δ=b2-4ac≥0时,x=[-b±(b2-4ac)(1/2)]/2a
当Δ=b2-4ac<0时,x={-b±[(4ac-b2)(1/2)]i}/2a
一元三次方程解法

以上是小编整理的有关一元二次和一元三次方程的数学知识,希望给大家带来帮助。
版权声明
声明:有的资源均来自网络转载,版权归原作者所有,如有侵犯到您的权益
请联系本站我们将配合处理!
上一篇 : 初中单位换算公式大全
下一篇 :数学中正三角形的面积公式
