梯形是只有一组对边平行的四边形。平行的两边叫做梯形的底边:较长的一条底边叫下底,较短的一条底边叫上底;另外两边叫腰;夹在两底之间的垂线段叫梯形的高。一腰垂直于底的梯形叫直角梯形。两腰相等的梯形叫等腰梯形。

等腰梯形
1、等腰梯形的两条腰相等。
2、等腰梯形在同一底上的两个底角相等。
3、等腰梯形的两条对角线相等。
4、等腰梯形是轴对称图形,对称轴是上下底中点的连线所在直线(过两底中点的直线)。
等腰梯形的判定
1、两腰相等的梯形是等腰梯形;
2、在同一底上的两个角相等的梯形是等腰梯形;
3、对角线相等的梯形是等腰梯形。
梯形法则
梯形法则是采用梯形来估计曲线下方面积,这等同将被积函数近似为直线函数,被积的部分近似为梯形,要求得较准确的数值,可以将要求积的区间分成多个小区间。
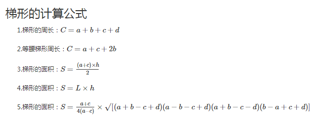
梯形公式

版权声明
声明:有的资源均来自网络转载,版权归原作者所有,如有侵犯到您的权益
请联系本站我们将配合处理!
上一篇 : 对角线互相平分的四边形是平行四边形吗
下一篇 :三角形的角平分线的定义
