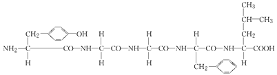
我国中科院上海生化所于1982年5月合成了一种具有镇痛作用而又不会像吗啡那样使病人上瘾的药物——脑啡肽,下面是它的结构简式。
我国中科院上海生化所于1982年5月合成了一种具有镇痛作用而又不会像吗啡那样使病人上瘾的药物——脑啡肽,下面是它的结构简式。

请根据此化合物的结构分析回答下面的问题。
(1)该化合物有________个氨基和________个羧基。
(2)该化合物是由____个氨基酸失去______分子水而形成的,这样的反应叫做________,该化合物叫______肽。
(3)该化合物有________种氨基酸构成,造成氨基酸种类不同的原因是____________。
【答案】1 1 5 4 脱水缩合 五(多) 四 R基不同
【解析】对于组成蛋白质的氨基酸的结构特点、分类依据的理解以及对氨基酸脱水缩合反应过程的理解和掌握,把握知识的内在联系是解题的关键;本题旨在考查学生的识图能力和运用题图信息解决问题的能力。组成蛋白质的氨基酸至少含有一个氨基和一个羧基,且都有一个氨基和一个羧基连接在同一个碳原子上,根据R基不同,组成蛋白质的氨基酸分为20种;氨基酸脱水缩合形成蛋白质的过程中,一个氨基酸的氨基与另一个氨基酸的羧基反应,脱去1分子水,形成一个肽键,肽链中的氨基酸数=肽键数+肽链数。
(1)分析题图可知,该化合物中有一个氨基(—NH2)和一个羧基(—COOH)。
(2)分析题图可知,该化合物有四个肽键(—CO—NH—),因此该化合物是由五个氨基酸脱去4分子水形成的五肽化合物,这样的反应叫做脱水缩合。
(3)组成此化合物的5个氨基酸的R基团依次是—CH2—C6H4OH、—H、—H、—CH2—C6H5、—CH2—CH(CH3)—CH3,其中有两个—H,因此共有4种氨基酸,造成氨基酸种类不同的原因是R基不同。
版权声明
声明:有的资源均来自网络转载,版权归原作者所有,如有侵犯到您的权益
请联系本站我们将配合处理!
