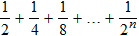
我国著名数学家华罗庚曾说过:“数形结合百般好,隔裂分家万事非”.如图,在一个边长为1的正方形纸板上,依次贴上面积为的矩形彩色纸片(n为大于1的整数).请你用“数形结合”的思想,
问题描述:
我国著名数学家华罗庚曾说过:“数形结合百般好,隔裂分家万事非”.如图,在一个边长为1的正方形纸板上,依次贴上面积为
的矩形彩色纸片(n为大于1的整数).请你用“数形结合”的思想,依数形变化的规律,计算
的结果为
最佳答案: 【分析】运用数形结合的思想对本题图中阴影部分和正方形的面积间的关系进行求解.1、从图上分析得:
,
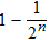
则
.
故选D.
【点评】本题考查对图形的整体观察能力,熟练掌握数形结合的思想,并能灵活应用.
版权声明
声明:有的资源均来自网络转载,版权归原作者所有,如有侵犯到您的权益
请联系本站我们将配合处理!
