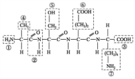
下图是某物质的结构式,请据图回答下面的问题。

(1)在结构式中,方框①表示的是________,该物质中共有________个①所示的基团。方框③所表示的是____________,该物质中共有________个③所示的基团。
(2)方框②表示的是________,它是由______________________________而形成的。
(3)该物质是由________个共________种氨基酸缩合而成的,所以叫________。结构式中的________是各氨基酸的R基。
(4)已知构成该分子的氨基酸的分子量之和为477,那么该物质的分子量是________。
(5)假如该物质为食物的一种成分,它在消化道中被消化成氨基酸时,需要消耗________个水分子。
【答案】氨基 2 羧基 2 肽键 一个氨基与一个羧基脱去1分子水 4 4 四肽 ④⑤⑥⑦ 423 3
【解析】分析题图可知,该题表示肽链的片段的结构,其中①是氨基,②是肽键,③是羧基,④⑤⑥⑦是R基;氨基酸脱水缩合反应过程中一个氨基酸的氨基与另一个氨基酸的羧基脱去1分子,形成一个肽键,氨基酸残基由肽键连接,形成的肽键数=脱去的水分子数=氨基酸数-肽链数;形成的蛋白质的相对分子量=氨基酸的分子量之和-脱去的水分子量之和。明确知识点,梳理相关的基础知识,分析题图,结合问题的具体提示综合作答。
(1)在结构式中,方框①表示的是氨基,该物质共有2个氨基,另一个位于⑦中。方框③所表示的是羧基,该物质中共有2个羧基,另一个位于⑥中。
(2)方框②表示的是肽键,结构式为—CO—NH—,它是由一个氨基和一个羧基脱去1分子水形成的。
(3)由于R基④、⑤、⑥、⑦各不相同,所以该物质是由4个共4种氨基酸缩合而成的,所以叫四肽。
(4)已知构成该分子的氨基酸的分子量之和为477,由于在形成过程中共失去3个水分子,所以该物质的分子量是477-3×18=423。
(5)假如该物质为食物的一种成分,它在消化道中被消化成氨基酸时,需要消耗的水分子个数=肽键数=3。
版权声明
声明:有的资源均来自网络转载,版权归原作者所有,如有侵犯到您的权益
请联系本站我们将配合处理!
