有粗细不均匀的圆台形长棒AB,其截面半径从A到B均匀地减小,但密度处处相同,如图所示,有一支点在O处将长棒支起而平衡。如果将其两端同时截去等长的a后,则该长棒将A仍可平衡B顺时
问题描述:
有粗细不均匀的圆台形长棒AB,其截面半径从A到B均匀地减小,但密度处处相同,如图所示,有一支点在O处将长棒支起而平衡。如果将其两端同时截去等长的a后,则该长棒将
最佳答案: 【分析】解本题的关键是确定两端同时截去等长a后,该棒重心的位置。将其两端同时截去等长的a后,左边被截去的重力大,但力臂小,右边被截去的重力小,但力臂大,因此不能简单地断定出哪一边被截去部分的重力与力臂的乘积大,必须进行定量的计算。先假定长棒的重心距粗端A的距离为
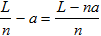
(L是棒长,因为重心靠近粗端,所以n一定大于2),开始时支点O正好在重心,所以棒能平衡。棒两端截去长度为a后,棒长为(L-2a),剩下部分的重心C距剩下部分的粗端D为
,而O点离D的距离为
。因为n>2,所以有
,即C点在O点的右侧,故棒要沿顺时针转动。本题答案为B。【点评】本题还有一种巧妙的解法,因两端截去的等长a并不确定,只是等长,可以用极端值法求解,假定a恰好等于AO,则O左边全部被截去右端还有部分剩余,所以右端会下沉,即顺时针转动。对于有些题目,用常规法很难求解,而用极端值法就方便得多,同学们应掌握这一方法。
版权声明
声明:有的资源均来自网络转载,版权归原作者所有,如有侵犯到您的权益
请联系本站我们将配合处理!
