问题描述:

元旦联欢会上,班长设计了一个小游戏--物质接龙、首尾相连.
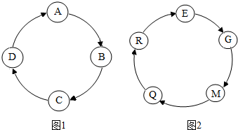
(1)A、B、C、D分别是初中化学常见的四种物质,他们之间存在着顺时针转化的关系,如图1所示.若其中A能够供给动植物呼吸,C能参与植物光合作用,且A、B、C、D都含有一种相同的元素,则A的化学式为______,写出D→A、A→B的化学反应方程式2H
2O
2H
2↑+O
2 ↑2H
2O
2H
2↑+O
2 ↑、O
2+2C
2COO
2+2C
2CO.
(2)小明同学觉得这个游戏很有趣,于是设计了图2的反应关系图,其中E、G、M、Q、R也都是初中化学常见的物质.若E的相对分子质量为100,Q是一种最常见的溶剂,则写出R→E、E→G的化学反应方程式______、______.且判断M→Q的反应类型是______.
最佳答案: (1)由其中A能够供给动植物呼吸,C能参与植物光合作用,可知A是氧气,C是二氧化碳,根据A→B→C可以转化可知B是CO,由C→D→A,可知二氧化碳与碱反应可以生成水,水电解又可以生成氧气,据此解答相关问题并书写有关的方程式.
(2)由Q是一种最常见的溶剂,可知Q是水,E的相对分子质量为100,可知E是碳酸钙,由Q→R→E可知R是氢氧化钙,是氧化钙与Q水的反应,R→E的方程式是:Ca (OH)2+CO2=Ca CO3↓+H2O,关于E→G→M→Q可以是碳酸钙与盐酸反应生成二氧化碳,二氧化碳与水反应生成碳酸,碳酸分解则可以生成水Q,符合物质接龙的要求(其它合理答案均可),所以E→G的方程式是:Ca CO3+2HCl=CaCl2+H2O+CO2↑,M→Q是碳酸的分解,所以该反应式分解反应,
故答案为:(1)O2;2H2O
2H2↑+O2 ↑;O2+2C
2CO(2)Ca(OH)2+CO2=Ca CO3↓+H2O;Ca CO3+2HCl=CaCl2+H2O+CO2↑;分解反应