只含有一个未知数(一元),并且未知数项的最高次数是2(二次)的整式方程叫做一元二次方程。

求根公式

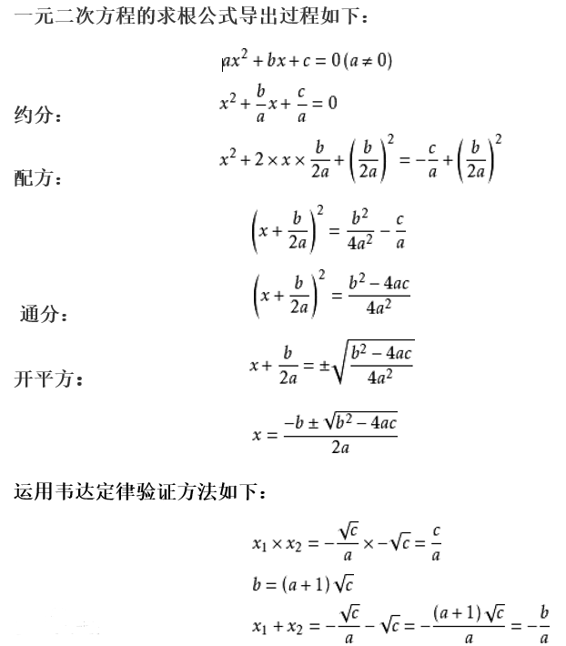
推导过程

一元二次方程例题

以上就是小编整理的一元二次方程知识点,感谢阅读。
版权声明
声明:有的资源均来自网络转载,版权归原作者所有,如有侵犯到您的权益
请联系本站我们将配合处理!
上一篇 : 勾股定理公式大全及逆定理
下一篇 :初中数学基本不等式公式
只含有一个未知数(一元),并且未知数项的最高次数是2(二次)的整式方程叫做一元二次方程。




以上就是小编整理的一元二次方程知识点,感谢阅读。
声明:有的资源均来自网络转载,版权归原作者所有,如有侵犯到您的权益
请联系本站我们将配合处理!