已知数列{an}是公差不为零的等差数列,a1=1且a1 , a3 , a9成等比数列.
(Ⅰ)求数列{an}的通项公式;
(Ⅱ)若
求数列{bn}的前n项和Sn .
解:(Ⅰ)设数列{an}的公差为d,
∵a1=1,∴a3=1+2d,a9=1+8d,
又∵a1 , a3 , a9成等比数列,
∴(1+2d)2=1+8d,
解得:d=1或d=0(舍),
∴数列{an}的通项an=1+(n﹣1)=n;
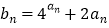
(Ⅱ)∵an=n,
∴
=4n+2n,
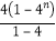
∴Sn=b1+b2+…+bn
=(4+42+…+4n)+2(1+2+…+n)
=
+n2+n
=
•4n+1+n2+n﹣
.
(Ⅰ)通过设数列{an}的公差为d,利用a1 , a3 , a9成等比数列,计算即可;
(Ⅱ)通过an=n,可得bn=4n+2n,分类计算即可.
【考点精析】关于本题考查的数列的前n项和和等比数列的基本性质,需要了解数列{an}的前n项和sn与通项an的关系
;{an}为等比数列,则下标成等差数列的对应项成等比数列;{an}既是等差数列又是等比数列== {an}是各项不为零的常数列才能得出正确答案.
版权声明
声明:有的资源均来自网络转载,版权归原作者所有,如有侵犯到您的权益
请联系本站我们将配合处理!
