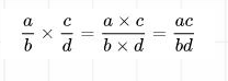
奥鹏学习网【aopeng123.cn】整理了关于2023年中考数学复习:分式的乘法法则,希望对同学们有所帮助,仅供参考。分式的乘法法则两个分式相乘,把分子相乘的积作为积的分子,把分母相乘的积作为积的分母。用字母表示为:

版权声明
声明:有的资源均来自网络转载,版权归原作者所有,如有侵犯到您的权益
请联系本站我们将配合处理!
奥鹏学习网【aopeng123.cn】整理了关于2023年中考数学复习:分式的乘法法则,希望对同学们有所帮助,仅供参考。分式的乘法法则两个分式相乘,把分子相乘的积作为积的分子,把分母相乘的积作为积的分母。用字母表示为:

声明:有的资源均来自网络转载,版权归原作者所有,如有侵犯到您的权益
请联系本站我们将配合处理!