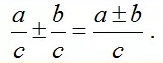
奥鹏学习网【aopeng123.cn】整理了关于2023年中考数学复习:分式的加减法则,希望对同学们有所帮助,仅供参考。分式的加减法则①同分母分式的加减法则:同分母的分式相加减,分母不变,把分子相加减。用字母表示为:

②异分母分式的加减法则:异分母的分式相加减,先通分,化为同分母的分式,再按照同分母分式的加减法则进行计算。用字母表示为:

版权声明
声明:有的资源均来自网络转载,版权归原作者所有,如有侵犯到您的权益
请联系本站我们将配合处理!
奥鹏学习网【aopeng123.cn】整理了关于2023年中考数学复习:分式的加减法则,希望对同学们有所帮助,仅供参考。分式的加减法则①同分母分式的加减法则:同分母的分式相加减,分母不变,把分子相加减。用字母表示为:

②异分母分式的加减法则:异分母的分式相加减,先通分,化为同分母的分式,再按照同分母分式的加减法则进行计算。用字母表示为:

声明:有的资源均来自网络转载,版权归原作者所有,如有侵犯到您的权益
请联系本站我们将配合处理!