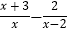
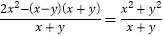
(1)计算:<img alt="1" src="/tk/20210512/1620771823544.png"/>-x+y; (2)解
(1)计算:
-x+y; (2)解方程:
=1.
(1)
,(2) x=6.
(1)先通分,然后进行加减运算即可;
(2)先去分母化为整式方程,解整式方程并进行检验即可得.
试题解析:
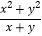
(1)原式=
;
(2)去分母,得(x+3)(x-2)-2x=x(x-2),解得x=6,
经检验,x=6是原方程的根,∴原方程的根为x=6.
版权声明
声明:有的资源均来自网络转载,版权归原作者所有,如有侵犯到您的权益
请联系本站我们将配合处理!
