(1)图甲表示一列简谐横波在t=20s时的波形图,图乙是该列波中的质点P的振动图象,由甲、乙两图中所提供的信息可知下列说法正确的是_________.<br/>
(1)图甲表示一列简谐横波在t=20s时的波形图,图乙是该列波中的质点P的振动图象,由甲、乙两图中所提供的信息可知下列说法正确的是_________.

A.该波的波长为1.5m
B.该波的振幅为0.1cm
C.该波的传播速度为0.5 m/s,速度沿﹣x轴方向
D.P质点在t=1.25s时沿﹢y方向运动
E.P质点在任意1s内的路程都是0.2cm
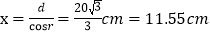
(2)一般常见材料的折射率都为正值(n>0),现针对某些电磁波设计的人工材料,其折射率可为负值(n<0),称为负折射率材料,电磁波通过空气与这种材料的界面时,电磁波传播规律仍然不变,入射角和折射角的大小关系仍遵从折射定律(此时折射角取负值),但折射波线与入射波线位于法线的同一侧.现有一束电磁波从空气中以i=60°的角度射入由负折射率材料制成、厚度d=10cm的长方体并从下表面射出,已知该材料对电磁波的折射率n=﹣
,电磁波在真空中的速度c=3×108m/s.

(i)大致画出电磁波穿过该材料的示意图________;
(ii)求电磁波穿过该材料时的传播时间和在传播方向的侧移量________.
【答案】BCE 11.55cm 6.67×10-10s
【解析】(1)由波形图可知,该波的波长为1.0m,选项A错误;该波的振幅为0.1cm,选项B正确;周期T=2s,则该波的传播速度为
,t=20s时质点P的振动情况与t=0时刻的振动情况相同,由波形图速度沿﹣x轴方向,选项C正确;由振动图像可知,P质点在t=1.25s时沿-y方向运动,选项D错误;1s=0.5T,P质点在任意1s内的路程都是2A=0.2cm,选项E正确;故选BCE .
(2)光路图如图所示。

根据折射定律
可知,
, r=-30°
故该电磁波在介质中传播方向刚好与入射方向垂直。
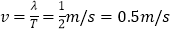
折射光线在介质中传播的距离
在介质中传播的距离v=
=1.73×108 m/s
折射光线在介质中传播的时间t=
=6.67×10-10s
版权声明
声明:有的资源均来自网络转载,版权归原作者所有,如有侵犯到您的权益
请联系本站我们将配合处理!
