2017年4月22日我国天舟一号货运飞船与天宫二号空间实验室顺利完成自动交互对接,形成组合体继续绕地球运行并完成科学试验.假设组合体做匀速圆周运动,组合体到地心的距离为r.已知万有引力常量为G,地球质
2017年4月22日我国天舟一号货运飞船与天宫二号空间实验室顺利完成自动交互对接,形成组合体继续绕地球运行并完成科学试验.假设组合体做匀速圆周运动,组合体到地心的距离为r.已知万有引力常量为G,地球质量为M. 求:

(1)组合体绕地球做圆周运动的线速度
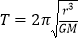
(2)组合体绕地球做圆周运动的周期
(3)如图,在地球上将饮料瓶的下方戳一个小孔,瓶中灌水,一人手持饮料瓶站立不动,小孔中有水喷出;若在运行的天宫二号空间实验室里用相同的方法做实验,饮料瓶小孔中是否有水喷出?请说明理由.
【答案】(1)
(2)
(3)否
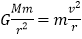
(1)组合体绕地球做匀速圆周运动时,万有引力提供向心力:
得:
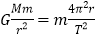
(2)组合体绕地球做匀速圆周运动时,万有引力提供向心力:
得:
(3)否;或小孔中没有水喷出,由于完全失重,水对瓶底几乎没有压力
版权声明
声明:有的资源均来自网络转载,版权归原作者所有,如有侵犯到您的权益
请联系本站我们将配合处理!
