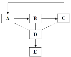
A、B、C、D、E为初中化学常见五种不同类别的物质,它们之间的关系如下图所示(“—”表示相连的两种物质能发生反应,“→”表示一种物质转化成另一种物质。反应条件、部分反应物和生成物已略去)。若A、B、C
A、B、C、D、E为初中化学常见五种不同类别的物质,它们之间的关系如下图所示(“—”表示相连的两种物质能发生反应,“→”表示一种物质转化成另一种物质。反应条件、部分反应物和生成物已略去)。若A、B、C均含有一种相同的金属元素,A→B是化合反应,常温下E是一种无色无味的气体,请回答下列问题:

(1)请写出物质A、C的化学式:A_______,C_______。
(2)请写出D→E反应的化学方程式_______,该反应的基本反应类型为______。
【答案】(1)CaO CaCO3
(2)Fe+2HCl=FeCl2+H2↑(其他合理的答案也给分) 置换反应
【解析】由于A、B、C、D、E为初中化学常见五种不同类别的物质,E是一种无色无味的气体,那么E可能是二氧化碳或氢气;若E是二氧化碳,那么D可能是含有碳酸根的物质或酸,由于A、B、C均含有相同金属元素,A→B是化合反应,那么它们含有的相同的金属可能是钙元素,A可能是氧化钙,氧化钙与水反应生成氢氧化钙,B是氢氧化钙;氢氧化钙与二氧化碳反应生成碳酸钙,C是碳酸钙;氧化钙、碳酸钙均能与D反应,那么D不是含有碳酸根的盐,则是酸,可能是盐酸;若E是氢气,那么D是盐酸,A是氧化钙、B是氢氧化钙,C是碳酸钙也行。把推断的物质代入,推断正确。
版权声明
声明:有的资源均来自网络转载,版权归原作者所有,如有侵犯到您的权益
请联系本站我们将配合处理!
