△ABC中,∠A=<img alt="1" src="/tk/20210512/1620752000031.png"/> , BC=3,AB=<
△ABC中,∠A=
, BC=3,AB=
, 则∠C=______

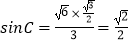
解:由∠A=
, BC=3,AB=
,
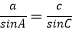
根据正弦定理
得:

又C为三角形的内角,且c<a,
∴0<∠C<
,
则∠C=
.
所以答案是:
【考点精析】本题主要考查了正弦定理的定义的相关知识点,需要掌握正弦定理:
才能正确解答此题.
版权声明
声明:有的资源均来自网络转载,版权归原作者所有,如有侵犯到您的权益
请联系本站我们将配合处理!
