点<img alt="1" src="/tk/20210512/1620768752821.png"/>的坐标是<img alt="
点
的坐标是
,从
、
、
、
、
这五个数中任取一个数作为
的值,再从余下的四个数中任取一个数作为
的值,则点
在平面直角坐标系中第三象限的概率是_______.

分析:首先根据题意得出所有的点的情况,然后得出符合条件的点的情况,根据概率的计算法则得出答案.
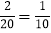
详解:所有可能出现的结果为:(-2,-1)、(-2,0)、(-2,1)、(-2,2)、(-1,-2)、(-1,0)、(-1,1)、(-1,2)、(0,-2)、(0,-1)、(0,1)、(0,2)、(1,-2)、(1,-1)、(1,0)、(1,2)、(2,-2)、(2,-1)、(2,0)、(2,1)共20种情况,在第三象限中点有(-2,-1)和(-1,-2)两种情况,则P(点在第三象限)=
.
版权声明
声明:有的资源均来自网络转载,版权归原作者所有,如有侵犯到您的权益
请联系本站我们将配合处理!
