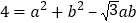
的内角A,B,C的对边分别为a,b,c,已知
.
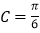
Ⅰ
求C;
Ⅱ
若
,求
面积的最大值.
(I)
;(II)
.
Ⅰ
由
及正弦定理,两角和的正弦函数公式可得
,结合
,可求
,由范围
,解得
的值;
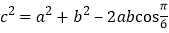
Ⅱ
由已知及余弦定理可得
,再由基本不等式可求
的最大值,根据三角形面积公式即可计算得解.
Ⅰ
由已知及正弦定理得:
,
所以
,得
,
因为
,
所以
,
又
,解得
;
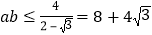
Ⅱ
由已知及余弦定理得:
,即
,
由
,当
时取等号,
所以
,解得
,
,当且仅当
时等号成立,
即当
时,
面积最大且最大值为
版权声明
声明:有的资源均来自网络转载,版权归原作者所有,如有侵犯到您的权益
请联系本站我们将配合处理!
下一篇 :返回列表
