<img alt="1" src="/tk/20210512/1620771870026.png"/>有意义的x 的取值范围是___________
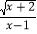
有意义的x 的取值范围是______________.
且
根据被开方式不小于零,且分母不等于零列式计算即可.
由题意得,
x+2≥0且x-1≠0,
解之得
x≥-2且x≠1.
故答案为:x≥-2且x≠1.
版权声明
声明:有的资源均来自网络转载,版权归原作者所有,如有侵犯到您的权益
请联系本站我们将配合处理!
有意义的x 的取值范围是______________.
且
根据被开方式不小于零,且分母不等于零列式计算即可.
由题意得,
x+2≥0且x-1≠0,
解之得
x≥-2且x≠1.
故答案为:x≥-2且x≠1.
声明:有的资源均来自网络转载,版权归原作者所有,如有侵犯到您的权益
请联系本站我们将配合处理!