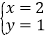
解方程组:<img alt="1" src="/tk/20210512/1620768340254.png"/>;
解方程组:
;

用代入消元法解方程组即可.

把①代入②,得
解得:
把
代入①得:
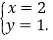
方程组的解为:
版权声明
声明:有的资源均来自网络转载,版权归原作者所有,如有侵犯到您的权益
请联系本站我们将配合处理!
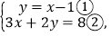
解方程组:
;

用代入消元法解方程组即可.

把①代入②,得
解得:
把
代入①得:
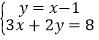
方程组的解为:
声明:有的资源均来自网络转载,版权归原作者所有,如有侵犯到您的权益
请联系本站我们将配合处理!