计算:
.

先计算二次根式的乘除运算,然后化简二次根式,最后再加减即可.
试题解析:
解:原式=
=
-2
=
-2.
版权声明
声明:有的资源均来自网络转载,版权归原作者所有,如有侵犯到您的权益
请联系本站我们将配合处理!
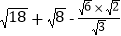
计算:
.

先计算二次根式的乘除运算,然后化简二次根式,最后再加减即可.
试题解析:
解:原式=
=
-2
=
-2.
声明:有的资源均来自网络转载,版权归原作者所有,如有侵犯到您的权益
请联系本站我们将配合处理!